(部分積分の公式・・・熊本大学の問題)     2006.6.24
 
(公式)

絵描き歌

エフ,エフ,エフダッシュ。(反対から)ジー,ジー,ジーダッシュ。あとは,ちょちょいのちょい。

 

(証明) 

(例題)

【解説】 

積分の中でも,部分積分の公式は,いかにも「テクニック」という感があり,教えづらいし,定着しにくい。

それは,

 1.積分だったら,スパッと出て欲しいが,まだ積分の∫が出てきやがる!
 2.そもそも積分自体が得意ではない。
 3.よく,怪しげな ”e” とからめて出てくる。
 4.公式のくせに長い。

というところだろうか?

授業の中で,証明をし,意味を教えたあとに,しかしツールとして使えるようになるために,上のアニメのような書き順で紹介する。意外に,絵描き歌感覚でとらえられるようだ。(使えるかどうかは,その後の演習しだいだが・・・)

例題は,部分積分を2回利用するタイプの問題である。あーややこしい。(出展は数研出版のスタディエイド)

http://www.chart.co.jp/stdb/db/math/math_top.htm

 更に下に部分積分を3回繰り返す熊本大学の問題をあげてみた。

 

 

(問題)

(代々木ゼミによる分析) 

【更に分析】

平成18年度 九州山口地区高校数学科入試連絡会から

2006(H18)5月21日実施 代々木ゼミナール福岡校
武岡台高校 Y先生のレポートから引用

 

この会議は,大学の入試担当者と高校の数学科職員との連携を図るという目的で,その年度の入試問題をテーマに各大学から報告され,質疑応答という形で毎年開催されているものである。ま,いわば,手品の種明かしショーのようなもので,その話を聴いてワタシのような高校側のモノとしては,「やっぱり出来とらん・・・」とか,「今度はこの辺が狙われそう・・・」など,思いをめぐらすものなのでアール。その中の熊本大学の話。


熊本大学 採点された工学部の大問3のみ説明された。

作問と採点について
点数にバラツキがでるように作問を考えた。工学部の大問3について(1)はとらせる問題にし,(3)はとれないように作問したが,実際は,全体的にできが悪く点数を出すのに苦労した。全体の点数がでるように,(1)の配点を7点から15点に上げて(2)(3)の配点を下げた。(「数学の得意な生徒には悪いことをした」と話された)

受験者223名中満点は5人だけ。25名の受験生が極値と極限値を混同してlimを持ち出して解答していた。(2)を部分積分でやり撃沈している。(1-x)3の微分で−のつけ忘れが多かった。また,(1-x)2=(1-x2)としてしまっている。xn-1(1-x)2(1次式)の符号調べで,xn-1を正と思い込んで解答している。nの偶奇で違うことに気づいていない。


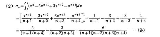
という報告だったので,(2)を部分積分で”撃沈”しないようにやってみた。

 

【解】

これは代々木ゼミの模範解答。(1)(3)はちょっと話題がずれるので省略。

 

 これはワタシの部分積分での模範?解答。あ〜めんどくさい。

 

(エピローグ)

なんでこれをテーマに書いたかっつーと,先日2006(H18)年6月16日に薩南工業高校で行われた,「鹿児島県算数・数学教育研究(川辺)大会」において,鹿児島高専の白坂先生の発表された,「積分の横技」というレポートの中に,「部分積分は定石であり洗練された解法ではあるが,あえて異なる解法も”横槍を入れる”ように存在するはずである。」という話題があった。

具体例を言うと,部分積分は次数を落とすために有効なテクニックであるが,逆に次数を上げてゆくのも何かしらの発見が出来るのではないか?限られた時間で解かねばならない入試問題では,横道にそれるのは命にかかわる問題だが,時間の有り余る自宅での取り組みでは,数学を技の習得とは思って欲しくはないし,そんな勉強はして欲しくない。どんどん横道にそれつつ迷路を探検すべきではなかろうか?ということが,我々数学教育者に課せられた使命であると感じることであった。

そういった意味では,熊本大学はどのように採点されたかは闇の奥だが,(1-x)3を展開するのが王道かもしれないが,たとえ撃沈しようとも,部分積分の荒波を超えようとした若者は,それなりに評価されたことと信じたいものである。

更に更におまけで,SEG出版の清史弘氏の著作である,「数学受験教科書 8微分と積分」の中に,部分積分を簡略化するオリジナル公式というものが掲載されている。参考になる資料である。

 

 

BACK