(2005熊本大学 曲線と接線とで定まる三角形の面積の和の極限の問題) 2009.11.9
 
熊本大学の入試問題で,微分積分の問題に,図形的に面積の極限が分かる問題がある。

 

曲線の赤のグラフに,接線の青の直線がある。そこに緑の三角形がだんだんと並んでいる。

問題文だけを読むと,点がたくさん出てきてごちゃごちゃした印象を受けるが,作図してみると,ご覧のとおり,非常にシンプルな問題である。上のアニメは,単に接線の移り変わりだけを表したものと,接線が移動しながら三角形を形作っていくところを取り出したアニメである。

こうしてみると,一目瞭然で,何をすべきかが分かってくる問題である。

下図は,その状況をストップさせた段階である。

接線を5本引いて,緑の三角形を5個作ってみた。

 

(解説)

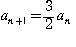
ある接点(そのx座標をanとする)における接線のx軸との交点の座標(その座標をan+1とする)には,どのような関係があるかと分析すると,が成り立っている。つまり,元の座標の1.5倍の位置に新座標が来る。これを繰り返すと,このような緑の三角形列が出来上がると言う算段な訳である。更に,その三角形面積の和はだんだんと収束していく。

このパターンの出題は数多く見られる。もともとの曲線にあたる関数を変えることで,同様の計算の流れではあるものの,途中の実際の計算は全く別のものとなるために,微分や積分の考え方を計るオリジナリティの高い問題がすぐに出来上がる点が,好まれる理由かもしれない。

 ****************************************************************************

 

今回は,GRAPESを利用してグラフ作成をし,photoshopで加工し,Giamでアニメーション作成を行った。自分の現在の仕事を記録しておくと言う意味と,個人的な記念碑的意味合いを持たせた熊大入試問題作品である。

資料として,PDFもアップしてあるので,お暇な方はこちらから,PDFファイルをどうぞダウンロードください。

もどる