科学教育研究生国内短期留学(鹿児島大学) 報告書
 

従来の数列の問題を複素数平面で考える

 a,bを定数とする。Xn+1=aXn+bXn-1の数列{Xn}の一般項を求めよ。
                                               ただし,X1=X0=1である。

 行列を用いると,

        Xn       0 1   Xn-1                        ここで,        X                    1
     (     ) =(   )(   )……@と表される。         Xn =(   )       より,X0=(  )
       Xn+1      a b    X                                         Xn+1                   1

  @は,Xn=AXn-1とかける。
             =A・AXn-2
             =A・A・AXn-3
                  :
             =AnX0 となる。
 
                     0 1                   0 1    n
  ここで,A =(     )    から,An=(     )          について考えると,
                      a b                    a b
  AY=kY,Y≠0を満たす,2次の列ベクトルYが存在するとき,
  kをAの固有値,Yを固有ベクトルといい,
             p                                  0 1   p           p
      Y=(   )     とおくと,AY=kYは, (     )(  )= k(   )   ……Aとなり
             q                                   a b     q          q
      q=kp
      bp+aq=kq
  が得られ,これより k2ーakーb=0 ……Bを得る。
 
 Bの2解をk1,k2とすると
 
 Bは,   0 1    1           1          0 1  1            1
            (     )(   )= k1(  )     ,(        )(    )= k1(  )     となり
              a b     k1          k1         a b    k         k2
 
                     1               1
    ここで,Y1=(   ) , Y2=(   )    ,X0=αY1+βY2  とおくと,
                     k             k2
 
                                       1         1          1
                                    (  )=α(   )+β(   )      より,
                                       1         k1         k2
  一行目は,1=α+β
    二行目は,1=αk1+βk2 となり,
  この2式より,

              1ーk2                k1ー1
      α=---------- , β=----------  より,
              k1ーk2               k1ーk2
 
 X0=αY1+βY2は,
 
      1          1ーk2    1       k1ー1     1
     (  ) =  ---------(   )+ --------(   )     
       0         k1ーk2    k1      k1ーk2    k2
 
となる。

  AYi=kii より, A=ki
    A2i=Akii
          :
     :
    Ani=An-1ii
          =kn-1ii
          =kni となる。
    Xn=An0
       =An(αY1+βY2)
     =αAn1+βAn2
       =αk1n1+βk2n2  となる。

  これは,
 
     Xn           n   1           n   1
    (   ) = αk1 (   )+βk2 (   )      となり,
      Xn+1               k1              k2
                       n          n
     第1行目は,Xn= αk1 + βk2               つまり
 
                      1ーk2      n     k1ー1      n
                    =----------k1 +----------k2   が一般項として言える。
                        k1ーk2            k1ーk2
 

 これは,つまり
      Xn+1=aXn+bXn-1  ただし,X1=X0=1  の一般項は,

              1ーk2     n     k1ー1       n
      Xn=---------k1 +-----------k2   ただし,k1,k2はk2ーakーb=0の解
              k1ーk2           k1ーk2

 ということを意味しているが,a,bを具体的に実数値をとると,非常に
興味深いことを表しているということが分かる。
 
以下の2つの例を参考にされたい。
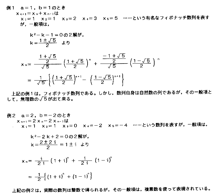
2つの例
 以上のような2つの例をあげたように,実際の数列は自然数だけで得られたり,または整数だけで
得られたりする漸化式について一般項を求めてみると,まったく関係の無い,無理数や,複素数まで
もが使われているということが分かる。
 三次方程式の解法でも述べたように,虚数というものは「実存せず,無視してよい」ものではなく,
表面上は複素数とは全く縁の無いように見えるものについても,その役割を演じているのである。